top of page
検索


総合診療3月号に「クスリとリスク」最終回が掲載されました
総合診療 2017年 3月号の特集は これがホントに必要な薬40 総合診療医の外来自家薬籠 です。 物事をややこしくすることは簡単です。細かく細かく書けばよいのです。 頭の中が整理できていないと、そうなります。下の看板は予備知識がないとパニックになります。...
U
2017年3月11日読了時間: 2分


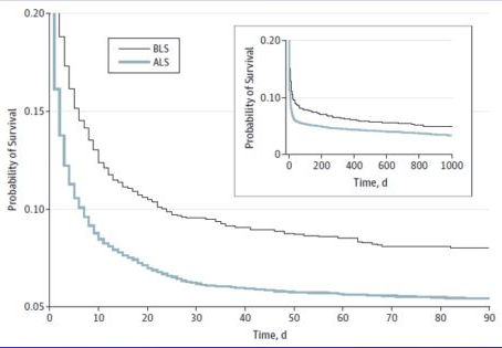
まだ慌てて挿管しなくていい
昔は12分以内に挿管していないと予後不良とされた。 Prehosp Emerg Care. 2004 Oct-Dec;8(4):394-9. その後、気管内挿管までに5分以内だった10,956例と、5分より長くかかった14,050例の比較•心拍再開のOR=0.96(0.91...
U
2017年3月5日読了時間: 3分


第20回松江臨床研修ネットワーク学術講演会 で講演しました
松江赤十字病院、松江市立病院の研修医を中心に集まって頂きました。 前半は症例検討会。 1)慢性経過の意識障害で来院した高齢女性の一例 大腿骨頚部骨折の既往があり、活性型ビタミンDを服用中。口渇・多飲・多尿あり。 採血で高Ca血症と腎機能障害。これで薬剤かと飛びついて...
U
2017年3月4日読了時間: 2分


明日の看護が変わる身体診察塾 in Tokyoで講演しました
今月の初めに大阪で行ったセミナーを東京でも行いました。 なんとそこで丸太町病院生まれの3人兄弟で、現在埼玉在住の看護師さんに出会いました。It's a small world !! 今回も直前にスライド少し追加しちょっとだけバージョンアップ。主催者側はテキスト修正に追われて...
U
2017年2月26日読了時間: 1分


在宅新療0-100 2017年2月号に掲載されました
特集は【高齢者救急 在宅医療に役立つ救急の知識】です。 在宅医療と救急医療の協働が,地域包括ケアシステムを充実させるという観点から組まれた特集で、私は 【在宅高齢者の急性増悪や急変を予測,回避するための身体診察とエビデンス】 を書きました。...
U
2017年2月25日読了時間: 2分


六甲研修医セミナーで講演しました。
六甲アイランド甲南病院は 302床(一般病床)の思いやりの精神を大切にする急性期病院だそうです。 イイ感じですね。 六甲アイランドにありますが、市民病院と間違われるとかでややこしく、姉妹病院である甲南病院と名前の関連性を明らかにするために3年ほど前に六甲アイランド甲南病...
U
2017年2月21日読了時間: 2分


第10回田坂メモリアルレクチャーで講演しました
第10回田坂メモリアルレクチャー:今回で10回目を迎える「田坂メモリアルレクチャー」は,平成19年に亡くなられた故田坂佳千先生(医療系メーリングリスト:TFCを主宰)の遺志に基づき,特に力をいれていた若手医師の育成・教育,万年研修医の気持ちを持ち続けるベテラン医師との交流を...
U
2017年2月18日読了時間: 2分


総合診療 2017年 2月号 に記事掲載されました
総合診療 2017年 2月号の特集 The 総合診療ベーシックス 白熱! 「総合診療フェス in OKINAWA」 ライブ・レクチャー! 一挙公開 [フィジカル動画付! ] これは、熱のこもった特集でした。「総合診療」は1月号から頁数が増えて、毎号増刊号のような読み応えのあ...
U
2017年2月14日読了時間: 2分


Journal club:ヘパリンブリッジは不要?
N Engl J Med. 2015 Aug 27;373(9):823-33 背景 心房細動のある患者で待機的手術やその他の待機的侵襲処置において抗凝固剤のブリッジングが必要かどうかは不確かである。我々は抗凝固剤のブリッジングを控えても低分子ヘパリンを術前の動脈系塞栓の予...
U
2017年2月14日読了時間: 2分


振戦で食事が食べられない人に
少し前にパーキンソン病による振戦で食事がとりにくい方がいて、ご提案したデバイス。 仕組みは動画を見てください。 Google創業者のサーゲイ・ブリン氏は、母親がパーキンソン病であり、Lift labs社を買収して、このデバイスの販売を手掛けたそうです。...
U
2017年2月6日読了時間: 1分


明日の看護が変わる身体診察塾 in Osakaで講演しました。
メディカ出版主催の看護師対象講演会です。有料講習会というだけあって、テキストも良いですねーー。 丸一日の勉強会で大変疲れましたが、向上心の高い看護師さんばかりで刺激になりました。会は盛り上がり、質問に答えるだけでおおよそ1時間を費やしました。凄いなぁ、この熱気は。適々斎塾の...
U
2017年2月5日読了時間: 1分


月刊レジデントに記事掲載されました。
研修医がしっておくべき循環管理について解説しました。 カラーが美しい装本だったので図をいくつか拝借させてもらいました。 EGDTについてはRiversの最初の報告で死亡率下げましたが、その後は予後改善なし。その理由は対照群もちゃんとした補液をするようになったから。...
U
2017年2月4日読了時間: 1分


第525回 兵庫県保険医協会 診療内容向上研究会で講演しました
「非器質性・心因性疾患を身体診察で診断するためのエビデンス」を話しました。 腰痛については省いてしまいましたが、後から聞きたかったとお話を頂きました。 開業医の先生方の場合、視力障害や痙攣よりも腰痛が身近な問題ということですね。...
U
2017年2月4日読了時間: 1分


小さな病院の小さな試みが取り上げられていて嬉しかった!
救急総合診療科をやっているとなんでも診療する機会に恵まれますが、まず救急そして集中治療、これらができると自信が持てるので必須のスキルです。 集中治療の勉強に関しては、「世界標準の集中治療を誰にでもわかりやすく」をコンセプトに年4回発行される「INTENSIVIST」を教科書...
U
2017年2月2日読了時間: 1分


Child-Pugh 分類より簡便?!で客観的なALBI-grade
肝予備能評価方法として腹水や脳症の因子を含まないアルブミン(Alb)と総ビリルビン(Tbil) のみを用いた ALBI-grade が注目されている。 Child-Pugh 分類では低アルブミンと強く関連する腹水が因子として 2...
U
2017年1月31日読了時間: 2分


明日からの看護が変わる身体診察レクチャー
大規模な院内限定看護師勉強会をしました。昔、病棟でやっていた看護師レクチャーを大規模に編集しなおし、丸一日かけて皆で勉強をしました。 バイタルサインの重要性、急変対応、Drコールのタイミングなどなど。基本的な話からかなりアドバンスな話まで。伝えたい内容はおおよそ伝えたと思い...
U
2017年1月28日読了時間: 1分


救急外来における急性心不全の診断
Rational Clinical Examination(JAMA. 2005 Oct 19;294(15):1944-56.)の10年ぶり改定といった内容 Acad Emerg Med. 2016 Mar;23(3):223-42....
U
2017年1月28日読了時間: 1分


つわりがMorning sicknessとなるのは1.8%のみ
つわりってつらいですよね。私は男ですから分かりませんが、妻がやつれていくのをみて心苦しく思ったものです。 つわりは4週ぐらいから出現し、14週でまでにはピークを迎え、24週までにほ消失すると覚えると覚えやすそうです。 Am J Obstet Gynecol. 2000...
U
2017年1月27日読了時間: 1分
bottom of page




